高数函数可导充分必要条件
的有关信息介绍如下:以下3者成立:
①左右导数存在且相等是可导的充分必要条件。
②可导必定连续。
③连续不一定可导。
所以,左右导数存在且相等就能保证该点是连续的。仅有左右导数存在且该点连续不能保证可导:例如y=|x|在x=0点。

扩展资料:
相对于初等数学而言,数学的对象及方法较为繁杂的一部分。
广义地说,初等数学之外的数学都是高等数学,也有将中学较深入的代数、几何以及简单的集合论初步、逻辑初步称为中等数学的,将其作为中小学阶段的初等数学与大学阶段的高等数学的过渡。
通常认为,高等数学是由微积分学,较深入的代数学、几何学以及它们之间的交叉内容所形成的一门基础学科。
主要内容包括:极限、微积分、空间解析几何与线性代数、级数、常微分方程。
如果f是在x0处可导的函数,则f一定在x0处连续,特别地,任何可导函数一定在其定义域内每一点都连续。反过来并不一定。事实上,存在一个在其定义域上处处连续函数,但处处不可导。
称
是
连续的,如果其导函数存在且是连续的。称
是
连续的,如果其导数是
的。一般地,称
是
连续的,如果其1阶,直到k阶导数存在且是连续的。若
任意阶导数存在,则称
是光滑的,或
的。
全体
函数类构成Banach空间。
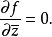
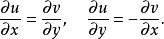
在复分析中,称函数是可导的,如果函数在定义域中每一点处是全纯的。复函数可导等价于Cauchy–Riemann方程 [2] 。即,若
可导当仅当
满足下列方程:
或等价地写成
充分必要条件也即充要条件,意思是说,如果能从命题p推出命题q,而且也能从命题q推出命题p ,则称p是q的充分必要条件,且q也是p的充分必要条件。
如果有事物情况A,则必然有事物情况B;如果有事物情况B,则必然有事物情况A,那么B就是A的充分必要条件 ( 简称:充要条件 ),反之亦然 。
参考资料:百度百科-可导函数 百度百科-充分必要条件



