怎么求联合分布律?
的有关信息介绍如下:X ,Y是独立的,算出X=x的概率,Y=y的概率,直接相乘。

联合概率分布简称联合分布,是两个及以上随机变量组成的随机变量的概率分布。根据随机变量的不同,联合概率分布的表示形式也不同。对于离散型随机变量,联合概率分布可以以列表的形式表示,也可以以函数的形式表示;对于连续型随机变量,联合概率分布通过非负函数的积分表示。
随机变量:给定样本空间
,其上的实值函数
称为(实值)随机变量。如果随机变量X的取值是有限的或者是可数无穷尽的值,则称X为离散随机变量。如果X是由全部实数或者由一部分区间组成,则称X为连续随机变量,连续随机变量的值是不可数及无穷尽的。随机变量分为离散型随机变量和连续型随机变量,当要求随机变量的概率分布的时候,要分别处理。
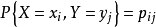
1. 离散型联合概率分布:
对于二维离散随机向量,设X和Y都是离散型随机变量,
和
分别是X和Y的一切可能的几何,则X和Y的联合概率分布可以表示为如右图的列联表,也可以表示为如下的函数形式
其中

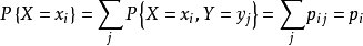
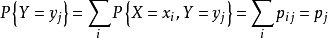
多维随机变量的中,只包含部分变量的概率分布称为边缘分布:


2. 连续型联合概率分布:
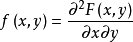
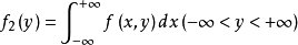
对于二维连续随机向量,设X和Y为连续型随机变量,其联合概率分布,或连续型随机变
的概率分布
通过一非负函数
的积分表示,称函数
为联合概率密度。两者的关系如下:


不但完全决定X和Y的联合概率分布,而且完全决定X的概率分布和Y的概率分布,以
和
分别表示X和Y的概率密度,则





