用逐差法求加速度的公式是什么?
的有关信息介绍如下:这两种方法都对。
从理论上来说,每种算法的结果都是一样的;实际上由于测量有误差,所以要尽量利用更多的实验数据,来消除偶然误差,所以放弃左图的方法一,而采用方法二;右图中与左图方法二的思路相同,最大限度地利用了速度与位移的测量值。
只是经过计算变换以后,右图代入的是位移值,不如左图根据加速度的定义来表达那么直观,实质是一回事。
不管怎么求平均加速度,核心公式都是速度变化量除以时间增量,用逐差法是为了降低实验偶然误差对计算结果的影响,都是正确的。方法一中求出每个相邻段的加速度再求平均,方法二中4点为一段,(时间是3T),逐点迁移,使用多次再求平均,就降低了误差。
扩展资料:
逐差法不确定度
例如牛顿环实验

其中k=1,2,3,4,5.共测10个环的直径,d1<d2<……<d10 [1]
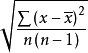
x的a类不确定度为
=
,其中s为样本方差
x的b类不确定度为
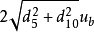
(这里取d5d10,因为这样计算得到的不确定度最大,比较保守)
牛顿环实验的b类不确定度要用配对的数据计算,本例中不能用d10d9计算b类不确定度,因为逐差法中d10和d5才是配对的。
加速度逐差法
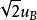
a类不确定度算法类似
b类不确定度为
,和牛顿环实验完全不同。
线性回归
要想更精确地求出拟合方程,可以用线性回归的方法。
逐差法适合手工计算,线性回归一般借助excel或统计软件。
参考资料:百度百科-逐差法



