自然对数的运算法则? 和公式?
的有关信息介绍如下:自然对数的运算公式和法则:
常数e的含义是单位时间内,持续的翻倍增长所能达到的极限值。

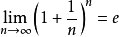
自然对数的底e是由一个重要极限给出的。我们定义:当n趋于无穷大时,

e是一个无限不循环小数,其值约等于2.718281828459…,它是一个超越数。
扩展资料:
e 与 π 的哲学意义:
1、数学讲求规律和美学,可是圆周率π和自然对数e那样基本的常量却那么混乱,就如同两个“数学幽灵”。人们找不到π和e的数字变化的规律,可能的原因:
(1)例如:人们用的是十进制,古人掰指头数数,因为是十根指头,所以定下了十进制,而二进制才是宇宙最朴素的进制,也符合阴阳理论,1为阳,0为阴。
(2)再例如:人们把π和e与那些规整的数字比较,所以觉得e和π很乱,因此涉及“参照物”的问题。那么,如果把π和e都换算成最朴素的二进制,并且把π和e这两个混乱的数字相互比较,就会发现一部分数字规律,e的小数部分的前17位与π的小数部分的第5-21位正好是倒序关系,这么长的倒序,或许不是巧合。
2、说明[ ]符号内为17位倒序区。
二进制π取部分值为11.0010[01000011111101101]010100010001000010110100011
二进制e取部分值为10.[10110111111000010]101000101100010100010101110110101
3、17位倒序区的意义:或许暗示e和π的发展初期可能按照某种彼此相反的规律发展,之后e和π都脱离了这个规律。但是,由于2进制只用0和1来表示数,因而出现相同,倒序相同,栅栏重排相同的情况不足为奇,虽然这种情况不一定是巧合,但思辨性结论不是科学结论,不应该作为科学证据使用。
参考资料来源:百度百科 - 自然对数



